集大全景VR

招办官微

招生信息

网站首页 >> 招生信息 >> 正文

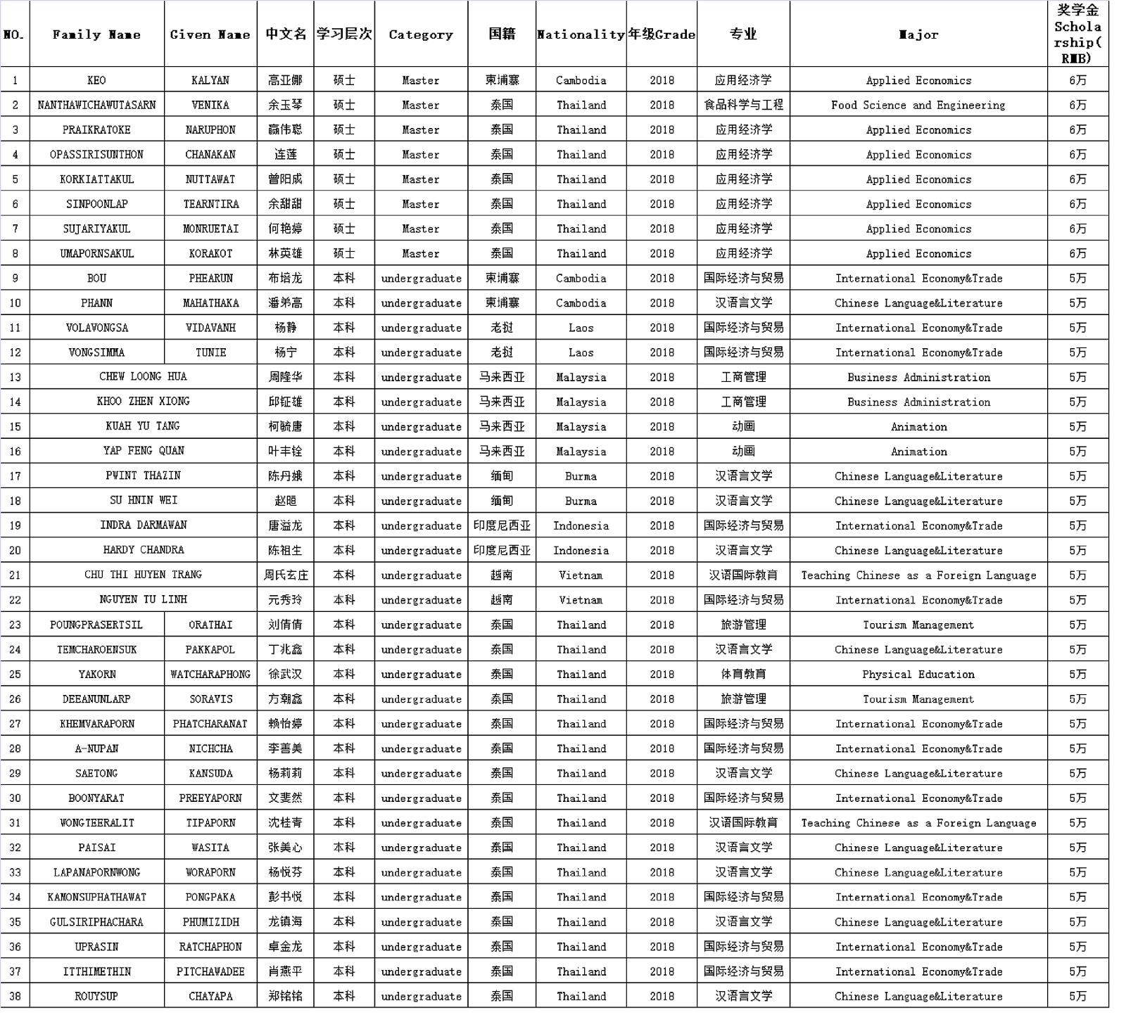
集美大学2018-2019年度陈嘉庚奖学金获奖名单

作者:     文章来源:      点击次数:      更新时间:2018-07-21

 

电话:0592-6181301,6183371,6181953,6181935   传真:0592-6185889
电邮:zsbbg@jmu.edu.cn    邮编:361021地址:福建省厦门市集美区银江路183-185号,集美大学招生办公室